Phương pháp thẩm định giá đất đai
(TDGTS Phương pháp thẩm định giá đất đai)– Thẩm định giá là việc cơ quan, tổ chức có chức năng thẩm định giá xác định giá trị bằng tiền của các loại tài sản theo quy định của Bộ luật dân sự phù hợp với giá thị trường tại một địa điểm, thời điểm nhất định, phục vụ cho mục đích nhất định theo tiêu chuẩn thẩm định giá.
Thẩm định giá là một dịch vụ tư vấn tài chính không thể thiếu trong nền kinh tế thị trường, xuất phát từ nhu cầu khách quan về việc xác định giá trị của tài sản; trên cơ sở đó các bên tham gia giao dịch có thể thỏa thuận với nhau về tài sản, giúp các giao dịch về tài sản thành công, đảm bảo lợi ích chính đáng các bên. Thẩm định giá đất đai có ý nghĩa rất quan trọng trong sự phát triển của kinh tế xã hội, phục vụ nhiều mục đích cho các bên liên quan như: xác định giá đất vay vốn ngân hàng, mua bán chuyển nhượng, tư vấn đầu tư, liên doanh góp vốn, giải quyết tranh chấp, định cư, du học…và xác định nghĩa vụ tài chính của các chủ thể kinh tế đối với Nhà nước.
Khi tiến hành thẩm định giá đất đai, thẩm định viên có thể áp dụng các cách tiếp cận và phương pháp thẩm định giá tại Tiêu chuẩn thẩm định giá Việt Nam. Hiện nay tại các thẩm định viên chuyên nghiệp áp dụng 5 phương pháp thẩm định giá đất đai bao gồm:
- Phương pháp so sánh;
- Phương pháp vốn hóa trực tiếp;
- Phương pháp dòng tiền chiết khấu;
- Phương pháp chiết trừ;
- Phương pháp thặng dư.
Phương pháp so sánh thuộc cách tiếp cận từ thị trường; Phương pháp vốn hóa trực tiếp, Phương pháp dòng tiền chiết khấu thuộc cách tiếp cận từ thu nhập; Phương pháp chiết trừ, Phương pháp thặng dư được xây dựng trên cơ sở kết hợp cách tiếp cận từ thị trường, cách tiếp cận từ chi phí và cách tiếp cận từ thu nhập
Đối với từng phương pháp thẩm định giá, thẩm định viên lựa chọn các thông tin thu thập nhằm đảm bảo tính chính xác của kết quả thẩm định giá.
1. Phương pháp so sánh
Tiêu chuẩn thẩm định giá Việt Nam số 08 “Cách tiếp cận từ thị trường’ được Ban hành kèm theo Thông tư số 126/2015/TT-BTC ngày 20/08/2015 của Bộ trưởng Bộ Tài chính.
Phương pháp so sánh là phương pháp thẩm định giá, xác định giá trị của quyền sử dụng đất thẩm định giá dựa trên cơ sở phân tích mức giá của các thửa đất so sánh để ước tính, xác định giá trị của tài sản thẩm định giá. Phương pháp so sánh thuộc cách tiếp cận từ thị trường.
Phương pháp so sánh thường được áp dụng để xác định giá trị quyền sử dụng đất của thửa đất trong trường hợp có thông tin giao dịch trên thị trường của các thửa đất tương tự với thửa đất thẩm định giá. Phương pháp so sánh trực tiếp được xây dựng chủ yếu dựa trên yêu cầu tuân thủ nguyên tắc thay thế: giá trị tài sản mục tiêu được coi là hoàn toàn có thể ngang bằng với giá trị của những tài sản tương đương có thể so sánh được. Theo đó, thẩm định viên phải dựa vào mức giá của những tài sản tương tự đó được xác định trong thời gian gần nhất để ước tính giá cho tài sản mục tiêu.
1.1. Các bước tiến hành thẩm định giá
Trên thực tế rất ít khi gặp hai thửa đất giống nhau hoàn toàn, hơn nữa giá trị của bất động sản lại thường thay đổi theo thời gian. Vì vậy để tiến hành thẩm định giá, thẩm định viên phải thu thập các giao dịch trên thị trường hiện hành của các bất động sản giống hoặc tương đối giống với bất động sản mục tiêu. Sau đó tiến hành phân tích giá mua bán, phân tích các giá trị đã giao dịch và làm những điều chỉnh cần thiết để tìm ra giá trị hợp lý của bất động sản mục tiêu. Về trình tự, các bước tiến hành thẩm định giá đất đai chia thành các bước cụ thể sau:
Bước 1.Xác định tổng quát về thửa đất cần thẩm định giá và xác định giá trị thị trường hoặc phi thị trường làm cơ sở thẩm định giá.
- Xác định các đặc điểm cơ bản về pháp lý, kinh tế – kỹ thuật của thửa đất cần thẩm định giá có ảnh hưởng đến giá trị của thửa đất thẩm định giá tại thời điểm thẩm định giá. Trường hợp có những hạn chế trong việc xác định các đặc điểm này, cần nêu rõ trong báo cáo kết quả thẩm định giá và chứng thư thẩm định giá.
- Xác định đối tượng sử dụng kết quả thẩm định giá; Xác định mục đích thẩm định giá và thời điểm thẩm định giá.
Xác định cơ sở giá trị của thẩm định giá: Căn cứ vào mục đích thẩm định giá, đặc điểm pháp lý, đặc điểm kinh tế – kỹ thuật và đặc điểm thị trường của bất động sản thẩm định giá thẩm định viên xác định cơ sở giá trị của thẩm định giá là giá trị thị trường hay giá trị phi thị trường của bất động sản.
Bước 2.Lập kế hoạch thẩm định giá.
- Việc lập kế hoạch thẩm định giá nhằm xác định rõ phạm vi, nội dung công việc, tiến độ thực hiện từng nội dung công việc và tiến độ thực hiện của toàn bộ cuộc thẩm định giá.
Bước 3.Khảo sát thực tế, thu thập thông tin.
- Các nguồn thông tin thu thập, phục vụ cho quá trình thẩm định giá bao gồm: thông tin do khách hàng cung cấp; thông tin từ kết quả khảo sát thực tế; thông tin từ các giao dịch mua bán bất động sản trên thị trường; thông tin trên các phương tiện truyền thông của địa phương, trung ương và của các cơ quan quản lý nhà nước có thẩm quyền; thông tin trên các văn bản thể hiện tính pháp lý về quyền của chủ sở hữu, về quy hoạch phát triển kinh tế, xã hội của vùng, miền có liên quan đến thửa đất thẩm định giá.
- Tìm kiếm thông tin về các bất động sản đã được giao dịch trong thời gian gần nhất có thể so sánh được với bất động sản mục tiêu về các yếu tố chủ yếu ảnh hưởng đến giá trị như: vị trí, chiều rộng đường ngõ, môi trường kinh doanh, môi trường sống, kích thước mặt tiền…
Bước 4.Phân tích thông tin.
- Là quá trình phân tích toàn bộ các thông tin thu thập được liên quan đến thửa đất thẩm định giá và các thửa đất so sánh để đánh giá tác động của các yếu tố đến kết quả thẩm định giá cuối cùng.
Bước 5.Xác định giá trị đất đai cần thẩm định giá.
Thẩm định giá bất động sản
Thẩm định giá động Sản
Thẩm định dự án đầu tư
Thẩm định giá tri doanh nghiệp
Thẩm Định Giá tài sản vô hình
Thẩm Định Giá mua sắm công
- Căn cứ các cách tiếp cận thẩm định giá quy định tại các Tiêu chuẩn thẩm định giá Việt Nam do Bộ Tài chính ban hành, thẩm định viên phân tích và lựa chọn các phương pháp thẩm định giá phù hợp với mục đích thẩm định giá, cơ sở giá trị của tài sản, mức độ sẵn có của các dữ liệu, thông tin để áp dụng các phương pháp thẩm định giá và phù hợp với các quy định của pháp luật liên quan
Bước 6.Lập báo cáo kết quả thẩm định giá, chứng thư thẩm định giá và gửi cho khách hàng, các bên liên quan.
- Báo cáo kết quả thẩm định giá và chứng thư thẩm định giá được lập theo quy định tại Tiêu chuẩn thẩm định giá Việt Nam số 06- Báo cáo kết quả thẩm định giá, chứng thư thẩm định giá và hồ sơ thẩm định giá.
- Xác định thời điểm bắt đầu có hiệu lực của chứng thư thẩm định giá:
- Xác định thời hạn có hiệu lực của kết quả thẩm định giá
- Báo cáo kết quả thẩm định giá và chứng thư thẩm định giá sau khi được doanh nghiệp thẩm định giá hoặc chi nhánh doanh nghiệp thẩm định giá ký phát hành theo đúng quy định của pháp luật
1.2. Ưu điểm, nhược điểm và điều kiện áp dụng
Ưu điểm
- Đây là phương pháp ít khó khăn về mặt kỹ thuật, vì nó không cần thiết phải xây dựng các công thức hoặc mô hình tính toán, mà dự vào sự hiện diện của các giao dịch thị trường
- Phương pháp này có sự đánh giá về giá trị thị trường giao dịch thực tế, vì vậy dễ dàng thuyết phục được khách hàng là các bằng chứng rõ ràng – được thừa nhận trên thực tế về giá trị bất động sản. Vì vậy có cơ sở vững chắc để khách hàng và cơ quan pháp lý công nhận.
- Là cơ sở hay còn gọi là đầu vào của các phương pháp khác, như: phương pháp chi phí và phương pháp thặng dư. Phương pháp này trở nên có ưu thế khi có sự trợ giúp của máy tính. Thông thường, người ta sử dụng phương pháp so sánh kết hợp với các phương pháp khác để thẩm định giá đất đai.
Nhược điểm
- Cần thiết phải có nhiều thông tin rõ ràng, chính xác. Nếu các thông tin giao dịch không chính xác, thì không sử dụng được phương pháp này.
- Các thông tin giao dịch thường khó đồng nhất với bất động sản cần định giá, đặc biệt là tính thời điểm (thông tin giao dịch thành công thường diễn ra trước thời điểm cần định giá bất động sản mục tiêu). Trong điều kiện thị trường biến động, các thông tin nhanh chóng trở nên lạc hậu trong một thời gian ngắn.
- Các thông tin chứng cứ thường mang tính chất lịch sử. Nếu thị trường biến động, các thông tin nhanh chóng trở nên ít tin tưởng trong một thời gian ngắn, khi đó tính chính xác sẽ thấp.
- Phương pháp này đòi hỏi thẩm định viên phải có nhiều kinh nghiệm và kiến thức thị trường thì mới có thể tiến hành thẩm định giá một cách thích hợp.
Phương pháp so sánh thường được sử dụng trong việc thẩm định giá các bất động sản dân sự thông dụng.
Điều kiện áp dụng
- Chất lượng thông tin phải phù hợp, đầy đủ, đáng tin cậy và kiểm tra được.
- Thị trường phải ổn định. Nếu thị trường biến động sẽ có sai số lớn, ngay cả khi đối tượng giống nhau về nhiều mặt.
- Để giảm bớt sự tác động của các định kiến và tính chủ quan trong việc đánh giá các yếu tố, thẩm định viên nên sử dụng các phương pháp thống kê, phân tích xác suất và máy tính. Điều kiện đó cho pháp thẩm định viên rút ra kết luận từ tập hợp các tài liệu trên cơ sở phân tích luật số lớn và nhận được kết quả đúng hơn.
2. Phương pháp vốn hóa trực tiếp
Tiêu chuẩn thẩm định giá Việt Nam số 09 “Cách tiếp cận từ chi phí’ được Ban hành kèm theo Thông tư số 126/2015/TT-BTC ngày 20/08/2015 của Bộ trưởng Bộ Tài chính.
Phương pháp vốn hóa trực tiếp được áp dụng để xác định giá trị quyền sử dụng đất của thửa đất tạo ra thu nhập cho người sử dụng.
V= I/R
Trong đó:
V: Giá trị tài sản thẩm định giá
I: Thu nhập hoạt động thuần
R: Tỷ suất vốn hóa
2.1. Các bước tiến hành thẩm định giá
Bước 1: Ước tính thu nhập hoạt động thuần do tài sản mang lại
Công thức xác định thu nhập hoạt động thuần:
Thu nhập hoạt động thuần = Tổng thu nhập tiềm năng – Thất thu do không sử dụng hết 100% công suất và do rủi ro thanh toán – Chi phí hoạt động
Thẩm định viên xác định tổng thu nhập tiềm năng, thất thu, chi phí hoạt động thông qua các thông tin điều tra khảo sát trên thị trường của các tài sản tương tự, có tham khảo thu nhập và chi phí hoạt động trong quá khứ của tài sản thẩm định giá, xem xét tình hình cung – cầu, triển vọng phát triển của thị trường ngành, lĩnh vực và các yếu tố khác ảnh hưởng đến việc dự báo tổng thu nhập tiềm năng, thất thu, chi phí hoạt động dự kiến của tài sản thẩm định giá.
Bước 2: Xác định tỷ suất vốn hóa
Tỷ suất vốn hóa được xác định thông qua 03 phương pháp: Phương pháp so sánh, Phương pháp phân tích vốn vay – vốn đầu tư và Phương pháp phân tích khả năng thanh toán nợ.
Bước 3: Áp dụng công thức vốn hóa trực tiếp.
2.2. Ưu điểm, nhược điểm và điều kiện áp dụng
Ưu điểm
Xét về mặt lý thuyết, đây là phương pháp có cơ sở lý luận chặt chẽ nhất, vì nó tiếp cận một cách trực tiếp những lợi ích mang lại từ bất động sản mang lại cho nhà đầu tư.
Ngoại trừ kỹ thuật chiết khấu dòng tiền, nói chung nó là phương pháp đơn giản.
Có thể đạt được độ chính xác cao khi có chứng cớ về các thương vụ có thể so sánh được, khi các khoản thu nhập có thể dự báo trước với một độ tin cậy cao.
Nhược điểm
- Khi phân tích về các thương vụ tương tự cần phải điều chỉnh nhiều mặt: tuổi thọ, chất lượng, thời hạn cho thuê đất, những thay đổi về tiền cho thuê trong tương lai…
- Trong nhiều trường hợp có thể thiếu cơ sở dự báo các khoản thu nhập tương lai.
- Kết quả định giá có độ nhạy lớn trước mỗi sự thay đổi của các tham số tính toán. Trong những trường hợp như vậy, kết quả sẽ chịu ảnh hưởng nhiều của yếu tố chủ quan.
Điều kiện áp dụng
- Phù hợp khi định giá thửa đất có khả năng mang lại các khoản thu nhập ổn định và có thể dự báo trước một cách hợp lý.
- Thường áp dụng để tư vấn cho các quyết định lựa chọn phương án đầu tư.
3. Phương pháp dòng tiền chiết khấu
Tiêu chuẩn thẩm định giá Việt Nam số 09 “Cách tiếp cận từ chi phí’ được Ban hành kèm theo Thông tư số 126/2015/TT-BTC ngày 20/08/2015 của Bộ trưởng Bộ Tài chính.
Phương pháp vốn hóa trực tiếp được áp dụng để xác định giá trị quyền sử dụng đất của thửa đất tạo ra thu nhập cho người sử dụng.
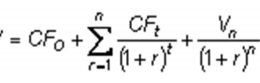
Trường hợp dòng tiền không đều:

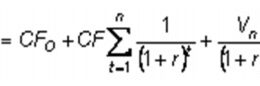
Trường hợp dòng tiền đều:

Trong đó:
V: Giá trị thị trường của tài sản
CFt: Dòng tiền năm thứ t
CF: Dòng tiền phát sinh đều đặn hàng năm
CFO: Dòng tiền phát sinh tại thời điểm bắt đầu giai đoạn dự báo dòng tiền. (Tại thời điểm này có thể chưa phát sinh thu nhập từ tài sản nhưng có thể đã phát sinh chi phí đầu tư ban đầu)
Vn: Giá trị tài sản cuối kỳ dự báo
n: Giai đoạn dự báo dòng tiền trong tương lai
r: Tỷ suất chiết khấu
t: Năm dự báo
3.1. Các bước tiến hành thẩm định giá
Bước 1: Xác định giai đoạn dự báo dòng tiền trong tương lai.
Bước 2: Ước tính dòng tiền thuần trên cơ sở ước tính thu nhập từ tài sản và ước tính chi phí liên quan đến việc khai thác, vận hành tài sản.
Bước 3: Ước tính giá trị tài sản cuối kỳ dự báo.
Bước 4: Ước tính tỷ suất chiết khấu thích hợp.
Bước 5: Xác định giá trị tài sản bằng công thức nêu trên.
3.2. Ưu điểm, nhược điểm và điều kiện áp dụng
Ưu điểm
Xét về mặt lý thuyết, đây là phương pháp có cơ sở lý luận chặt chẽ nhất, vì nó tiếp cận một cách trực tiếp những lợi ích mang lại từ bất động sản mang lại cho nhà đầu tư.
Ngoại trừ kỹ thuật chiết khấu dòng tiền, nói chung nó là phương pháp đơn giản.
Có thể đạt được độ chính xác cao khi có chứng cớ về các thương vụ có thể so sánh được, khi các khoản thu nhập có thể dự báo trước với một độ tin cậy cao.
Nhược điểm
- Khi phân tích về các thương vụ tương tự cần phải điều chỉnh nhiều mặt: tuổi thọ, chất lượng, thời hạn cho thuê đất, những thay đổi về tiền cho thuê trong tương lai…
- Trong nhiều trường hợp có thể thiếu cơ sở dự báo các khoản thu nhập tương lai.
- Kết quả định giá có độ nhạy lớn trước mỗi sự thay đổi của các tham số tính toán. Trong những trường hợp như vậy, kết quả sẽ chịu ảnh hưởng nhiều của yếu tố chủ quan.
Điều kiện áp dụng
- Phù hợp khi định giá thửa đất có khả năng mang lại các khoản thu nhập ổn định và có thể dự báo trước một cách hợp lý.
Thường áp dụng để tư vấn cho các quyết định lựa chọn phương án đầu tư.
4. Phương pháp chiết trừ
Phương pháp chiết trừ và phương pháp thặng dư được xây dựng trên cơ sở kết hợp cách tiếp cận từ thị trường, cách tiếp cận từ chi phí và cách tiếp cận từ thu nhập.
Phương pháp chiết trừ thường được áp dụng để xác định giá trị quyền sử dụng đất của thửa đất trống trong trường hợp không có đủ thông tin giao dịch trên thị trường của các thửa đất trống tương tự mà chỉ có thông tin giao dịch của thửa đất có tài sản gắn liền với đất tương tự với thửa đất thẩm định giá.
Phương pháp chiết trừ là phương pháp thẩm định giá xác định giá trị quyền sử dụng đất của thửa đất có tài sản gắn liền với đất bằng cách loại trừ phần giá trị tài sản gắn liền với đất ra khỏi tổng giá trị bất động sản (bao gồm giá trị quyền sử dụng đất và giá trị tài sản gắn liền với đất).
4.1. Các bước tiến hành thẩm định giá
Bước 1: Khảo sát và lựa chọn ít nhất 03 bất động sản mà thửa đất của các bất động sản đó có những đặc điểm tương tự với thửa đất của bất động sản thẩm định giá, cụ thể là đặc điểm về vị trí, diện tích, hình dạng, mục đích sử dụng đất, đặc điểm pháp lý, các yếu tố về hạ tầng kỹ thuật và hạ tầng xã hội và các yếu tố khác ảnh hưởng đến giá đất. Đồng thời, thu thập thông tin về tài sản gắn liền với đất của bất động sản so sánh.
Các bất động sản được lựa chọn đã giao dịch thành công hoặc được chào mua hoặc được chào bán trên thị trường với địa điểm giao dịch, chào mua, chào bán tương tự với tài sản thẩm định giá tại thời điểm thẩm định giá hoặc gần với thời điểm thẩm định giá nhưng không quá 2 năm kể từ thời điểm giá được quy định tại Tiêu chuẩn thẩm định giá Việt Nam về cách tiếp cận từ thị trường.
Bước 2: Xác định giá trị các tài sản gắn liền với đất của các bất động sản so sánh (các bất động sản đã được lựa chọn tại Bước 1) tại thời điểm thẩm định giá.
Giá trị của tài sản gắn liền với đất của bất động sản so sánh= Giá trị xây dựng mới của tài sản gắn liền với đất của bất động sản so sánh tại thời điểm thẩm định giá – Giá trị hao mòn tại thời điểm thẩm định giá
Trong đó:
– Giá trị xây dựng mới của tài sản gắn liền với đất của bất động sản so sánh tại thời điểm thẩm định giá được tính bằng chi phí tái tạo hoặc chi phí thay thế tạo ra tài sản gắn liền với đất. Cách xác định chi phí tái tạo, chi phí thay thế được hướng dẫn tại Tiêu chuẩn thẩm định giá Việt Nam về cách tiếp cận từ chi phí.
– Giá trị hao mòn của tài sản gắn liền với đất của bất động sản so sánh tại thời điểm thẩm định giá được xác định theo hướng dẫn tại Tiêu chuẩn thẩm định giá Việt Nam về cách tiếp cận từ chi phí.
Bước 3: Xác định giá trị quyền sử dụng đất của bất động sản so sánh tại thời điểm thẩm định giá.
Giá trị quyền sử dụng đất của bất động sản so sánh = Giá giao dịch của bất động sản so sánh – Giá trị của tài sản gắn liền với đất của bất động sản so sánh
Trong đó:
– Giá giao dịch của bất động sản so sánh là giá giao dịch thành công hoặc giá giao dịch chưa thành công đã được điều chỉnh về mức giá có khả năng giao dịch thành công.
– Giá trị của tài sản gắn liền với đất của bất động sản so sánh đã được xác định tại Bước 2.
Bước 4: Xác định giá trị quyền sử dụng đất của bất động sản thẩm định giá.
Giá trị quyền sử dụng đất của bất động sản thẩm định giá được xác định trên cơ sở giá trị quyền sử dụng đất của các bất động sản so sánh sau khi điều chỉnh các yếu tố khác biệt chính như điều kiện thanh toán, đặc điểm pháp lý, vị trí, diện tích, hình dạng, các yếu tố về hạ tầng kỹ thuật, hạ tầng xã hội và các yếu tố khác ảnh hưởng đến giá trị quyền sử dụng đất, theo hướng dẫn tại Tiêu chuẩn thẩm định giá Việt Nam về cách tiếp cận từ thị trường. Thẩm định viên về giá cần có lập luận về cách lựa chọn tỷ lệ điều chỉnh của các yếu tố ảnh hưởng tới giá đất.
4.2. Ưu điểm, nhược điểm và điều kiện áp dụng
Ưu điểm
Phương pháp chiết trừ thường được áp dụng để xác định giá trị quyền sử dụng đất của thửa đất trống, trong trường hợp không có đủ thông tin giao dịch trên thị trường.
Nhược điểm
Chi phí không phải lúc nào cũng bằng với giá trị tài sản và có những chi phí không tạo ra giá trị. Thẩm định viên có kiến thức nhất định về xây dựng, giá thành xây dựng và phải có kinh nghiệm để có thể áp dụng được phương pháp này.
Điều kiện áp dụng
Thẩm định viên phải có nhiều năm kinh nghiệm về xây dựng và đất đai để tách riêng giá trị công trình xây dựng ra khỏi giá trị đất đai.
5. Phương pháp thặng dư
Phương pháp chiết trừ và phương pháp thặng dư được xây dựng trên cơ sở kết hợp cách tiếp cận từ thị trường, cách tiếp cận từ chi phí và cách tiếp cận từ thu nhập.
Phương pháp thặng dư thường được áp dụng với bất động sản có tiềm năng phát triển, cụ thể là đất trống để xây dựng hoặc đất có công trình trên đất có thể cải tạo hoặc phá dỡ xây dựng công trình mới trên đất để sử dụng tốt nhất và có hiệu quả nhất.
Phương pháp thặng dư là một dạng đặc biệt của phương pháp đầu tư. Nó đòi hỏi phải quán triệt đủ 5 nguyên tắc định giá tài sản. Tuyên nhiên, “nguyên tắc đóng góp” giữ vai trò chủ đạo. Theo nguyên tắc này, giá trị của bất động sản được xác định trên cơ sở của sự hiện diện hay thiếu vắng nó sẽ làm cho giá trị của tổng tài sản tăng lên hay giảm đi là bao nhiêu.
Phương pháp thặng dư là phương pháp thẩm định giá xác định giá trị của bất động sản có tiềm năng phát triển dựa trên cơ sở lấy giá trị ước tính của phát triển giả định của tài sản (tổng doanh thu phát triển) trừ đi tất cả các chi phí dự kiến phát sinh (bao gồm lợi nhuận nhà đầu tư) để tạo ra sự phát triển đó.
5.1. Công thức tổng quát
V = DT – CP
V: Giá trị tài sản thẩm định giá;
DT: Tổng doanh thu phát triển;
CP: Tổng chi phí phát triển.
Các trường hợp giả định về thời điểm phát sinh doanh thu phát triển và chi phí phát triển bất động sản:
– Trường hợp 1: Giả định doanh thu phát triển bất động sản, chi phí phát triển bất động sản chỉ phát sinh trong cùng 01 năm. Khi đó doanh thu và chi phí phát triển bất động sản được tính toán theo mặt bằng giá tại thời điểm thẩm định giá.
V = DT – CP (tại thời điểm thẩm định giá)
– Trường hợp 2: Giả định quá trình phát triển bất động sản kéo dài nhiều năm, sau khi xây dựng chủ sở hữu cho thuê để kinh doanh hoặc cho thuê một phần để kinh doanh hoặc bán từng phần bất động sản qua nhiều năm.
Trong đó:
V : Giá trị tài sản thẩm định giá;
DTt : Doanh thu phát triển giả định của bất động sản tại thời điểm t;
CPt : Chi phí phát triển dự kiến tại thời điểm t;
r : Tỷ suất chiết khấu;
n : Giai đoạn dự báo dòng tiền trong tương lai;
t : Năm dự báo.
5.2. Các bước tiến hành thẩm định giá:
Bước 1: Xác định việc sử dụng tốt nhất và có hiệu quả nhất của thửa đất.
Bước 2: Xác định giai đoạn dự báo dòng tiền trong tương lai.
Bước 3: Ước tính tổng doanh thu phát triển của bất động sản. Đối với trường hợp 2 cần thực hiện quy đổi tổng doanh thu phát triển của bất động sản về thời điểm thẩm định giá.
Bước 4: Ước tính tổng chi phí phát triển để tạo ra giá trị phát triển của bất động sản. Đối với trường hợp 2 cần thực hiện quy đổi tổng chi phí phát triển của bất động sản về thời điểm thẩm định giá.
Bước 5: Xác định giá trị quyền sử dụng đất trên cơ sở lấy kết quả tính toán của Bước 3 trừ (-) kết quả của Bước 4.
5.3. Ưu điểm, nhược điểm và điều kiện áp dụng
Ưu điểm
- Được sử dụng để đánh giá các khu đất có tiềm năng phát triển
- Đây là phương pháp thích hợp để đưa ra mức giá khi thực hiện đấu thầu.
- Phương pháp này mô phỏng lại cách thức phân tích đánh giá các cơ hội đầu tư vào bất động sản. Vì vậy, nó có giá trị quan trọng để tư vấn về chi phí xây dựng tối đa và tiền cho thuê tối thiểu cần đạt được khi thực hiện dự án phát triển bất động sản.
Nhược điểm
- Khó khăn trong việc xác định sử dụng tốt nhất và có hiệu quả nhất
- Chi phí và giá bán có thể bị thay đổi tùy theo các điều kiện thị trường
- Giá trị cuối cùng rất nhạy cảm đối với các tham số về chi phí và giá bán
- Phương pháp này không tính đến giá trị thời gian của tiền.
Điều kiện áp dụng
- Phù hợp khi thẩm định giá khu đất có yêu cầu về sự phát triển không phức tạp. Các yếu tố ước tính liên quan đến giá bán, giá cho thuê và chi phí đạt được độ tin cậy cao.
- Thẩm định viên phải có nhiều năm kinh nghiệm về phát triển và mở rộng đất đai để xác định đúng cơ hội sử dụng tốt nhất và hiệu quả nhất.
- Đây là phương pháp được các nhà thầu xây dựng, các công ty kinh doanh bất động sản sử dụng một cách thường xuyên khi đánh giá các khả năng phát triển và các cơ hội đầu tư vào bất động sản…
Trên đây là 5 phương pháp thẩm định giá đất đai được các thẩm định viên thường xuyên áp dụng mang lại độ chính xác rất cao. Tùy vào từng mục đích thẩm định giá, cơ sở giá trị bất động sản, đặc điểm pháp lý, đặc điểm kinh tế – kỹ thuật, mức độ sẵn có của thông tin thu thập được, Thẩm định viên lựa chọn phương pháp thẩm định giá hoặc kết hợp nhiều phương pháp thẩm định giá theo quy định về các phương pháp tại Hệ thống Tiêu chuẩn thẩm định giá Việt Nam và phù hợp với quy định của các pháp luật có liên quan.
Thông tin liên hệ:
CÔNG TY TNHH ĐỊNH GIÁ BẾN THÀNH - HÀ NỘI
📍 Trụ sở chính: Số 236 đường Cao Thắng, phường Hoà Hưng, thành phố Hồ Chí Minh.
📍 Văn phòng: 781/C2 Lê Hồng Phong,phường Hoà Hưng, thành phố Hồ Chí Minh.
📍 Mã số thuế: 0314521370.
🌐 Website: //thamdinh.com.vn
📞 Hotline: 0909.399.961
📧 Email: [email protected]




