Cách tiếp cận và phương pháp thẩm định giá bất động sản từ ngày 05/8/2024

Mới đây, Bộ tài chính đã ban hành Chuẩn mực thẩm định giá Việt Nam về Thẩm định giá bất động sản. Trong đó, có quy định về cách tiếp cận và phương pháp thẩm định giá bất động sản.

Cách tiếp cận và phương pháp thẩm định giá bất động sản từ ngày 05/8/2024 (Hình từ internet)
Ngày 20/6/2024, Bộ trưởng Bộ Tài chính ban hành Thông tư 42/2024/TT-BTC ban hành Chuẩn mực thẩm định giá Việt Nam về Thẩm định giá bất động sản.
| Thông tư 42/2024/TT-BTC |
Cách tiếp cận và phương pháp thẩm định giá bất động sản từ ngày 05/8/2024
Theo đó, tại Điều 4 Chuẩn mực thẩm định giá Việt Nam về Thẩm định giá bất động sản ban hành kèm theo Thông tư 42/2024/TT-BTC có quy định cách tiếp cận và phương pháp thẩm định giá bất động sản từ ngày 05/8/2024 như sau:
– Các cách tiếp cận áp dụng trong thẩm định giá bất động sản bao gồm cách tiếp cận từ thị trường, cách tiếp cận từ chi phí và cách tiếp cận từ thu nhập theo quy định tại Chuẩn mực thẩm định giá Việt Nam hoặc sử dụng kết hợp các cách tiếp cận.
– Phương pháp thẩm định giá sử dụng trong thẩm định giá bất động sản bao gồm các phương pháp thẩm định giá thuộc các cách tiếp cận hoặc kết hợp các cách tiếp cận quy định nêu trên.
Phương pháp thặng dư là phương pháp thẩm định giá được xây dựng dựa trên cơ sở kết hợp cách tiếp cận từ thị trường, cách tiếp cận từ chi phí và cách tiếp cận từ thu nhập.
– Căn cứ vào đặc điểm của bất động sản cần thẩm định giá, mục đích thẩm định giá, thời điểm thẩm định giá, cơ sở giá trị thẩm định giá, các thông tin và số liệu về bất động sản cần thẩm định giá có thể thu thập được để lựa chọn cách tiếp cận và phương pháp thẩm định giá phù hợp.
Xác định việc sử dụng tốt nhất và có hiệu quả nhất của bất động sản
Việc sử dụng tốt nhất và có hiệu quả nhất của bất động sản được xác định trên cơ sở:
– Đặc điểm của bất động sản thẩm định giá.
– Các thông tin về quy hoạch sử dụng đất, quy hoạch xây dựng, quy hoạch giao thông, quy định về chuyển mục đích sử dụng đất và các quy định về đầu tư xây dựng đã được cấp có thẩm quyền phê duyệt.
– Hướng dẫn phân tích việc sử dụng tốt nhất và có hiệu quả nhất tại Chuẩn mực thẩm định giá Việt Nam về Thu thập và phân tích thông tin về tài sản thẩm định giá.
(Điều 6 Chuẩn mực thẩm định giá Việt Nam về Thẩm định giá bất động sản ban hành kèm theo Thông tư 42/2024/TT-BTC)
Thẩm định giá bất động sản
Thẩm định giá động Sản
Thẩm định dự án đầu tư
Thẩm định giá tri doanh nghiệp
Thẩm Định Giá tài sản vô hình
Thẩm Định Giá mua sắm công
Quy định về áp dụng phương pháp thặng dư trong thẩm định giá bất động sản
– Công thức trong phương pháp thặng dư:
V = DT – CP
Trong đó:
V: Giá trị tài sản thẩm định giá;
DT: Tổng doanh thu phát triển;
CP: Tổng chi phí phát triển.
– Nội dung thực hiện:
+ Xác định việc sử dụng tốt nhất và có hiệu quả nhất của bất động sản;
+ Xác định giai đoạn dự báo dòng tiền trong tương lai (n);
+ Xác định tổng doanh thu phát triển (DT);
+ Xác định tổng chi phí phát triển (CP);
+ Xác định giá trị của bất động sản (V).
– Các trường hợp về thời điểm phát sinh doanh thu phát triển và chi phí phát triển bất động sản:
+ Trường hợp 1: Doanh thu phát triển bất động sản, chi phí phát triển bất động sản chi phát sinh trong cùng 01 năm. Khi đó doanh thu và chi phí phát triển bất động sản được tính toán theo mặt bằng giá tại thời điểm thẩm định giá.
V = DT – CP (tại thời điểm thẩm định giá)
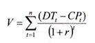
+ Trường hợp 2: Quá trình phát triển bất động sản kéo dài nhiều năm, sau khi xây dựng cho thuê để kinh doanh hoặc cho thuê một phần để kinh doanh hoặc bán từng phần bất động sản qua nhiều năm.

Trong đó:
V : Giá trị tài sản thẩm định giá;
DTt: Doanh thu phát triển dự kiến năm thứ t;
CPt: Chi phí phát triển dự kiến năm thứ t;
r: Tỷ suất chiết khấu;
n: Giai đoạn dự báo dòng tiền trong tương lai;
t: Năm dự báo.
(Điều 5 Chuẩn mực thẩm định giá Việt Nam về Thẩm định giá bất động sản ban hành kèm theo Thông tư 42/2024/TT-BTC)
Thông tin liên hệ:
CÔNG TY TNHH ĐỊNH GIÁ BẾN THÀNH - HÀ NỘI
📍 Trụ sở chính: Số 236 đường Cao Thắng, phường Hoà Hưng, thành phố Hồ Chí Minh.
📍 Văn phòng: 781/C2 Lê Hồng Phong,phường Hoà Hưng, thành phố Hồ Chí Minh.
📍 Mã số thuế: 0314521370.
🌐 Website: //thamdinh.com.vn
📞 Hotline: 0909.399.961
📧 Email: [email protected]




